Ingeniería e Investigación
0120-5609
Facultad de Ingeniería, Universidad Nacional de Colombia.
https://doi.org/10.15446/ing.investig.v40n2.83364

Recibido: 16 de marzo de 2020; Aceptado: 23 de junio de 2020

Refining of the solid fraction of sheep feces digestates from an anaerobic digester

Refinación de la fracción sólida de digestatos de excretas de ovejas proveniente de un digestor anaerobio

J. Sosa-Olivier, 1 J. Laines-Canepa, 2

Ph.D. student of Sciences in ecology and management of tropical systems, Universidad Juarez Autónoma de Tabasco (UJAT). Research professor, attached to the Academic Division of Biological Sciences (Dacbiol-UJAT), in pilot plant 3 "air and solid waste treatment". Email: aurelio.sosa@ujat.mx, ing-jaso@hotmail.es Universidad Juárez Autónoma de Tabasco Universidad Juarez Autónoma de Tabasco Mexico
Ph.D. Sciences in ecology and management of tropical systems, Universidad Juárez Autónomade Tabasco (UJAT). Research professor, attached to the Academic Division of Biological Sciences (Dacbiol-UJAT), in pilot plant 3 "air and solid waste treatment". Email: josra_2001@yahoo.com.mx Universidad Juárez Autónoma de Tabasco Universidad Juárez Autónomade Tabasco Mexico

ABSTRACT

Anaerobic digestion is a technology used in the degradation of organic waste, with the possibility of obtaining products such as biogas and digestates, which have significant nutrient concentrations. However, using them without any prior treatment can cause various problems, due to the presence of unstabilized organic matter and excessive concentrations of nutrients reaching phytotoxic levels, as well as water and air contamination. Therefore, in this work, we present a refining process of solid digestates from a biodigester fed with sheep feces, by means of vermicomposting, in combination with plant waste, and using earthworms of the species E. andrei and E. fetida. The digestate values at the end of the vermicomposting showed to be within optimal ranges of electrical conductivity, with values ≤4 dS/m. The pH values were between 5,39 and 7. The percentage of organic matter was between 20 and 50%. It could be proven that the refining process increased the concentration of Kfor groups F 50:50, F 75:25, and A 75:25, with a value of P = 0,0001. Treatments with E. fetida showed the highest concentrations (g/L) of N = 2,71 ± 1,10, P = 0,89 ± 0,69 and K = 4,01 ± 1,57. The importance of giving added value to the products generated during anaerobic digestion processes contributes to better yields and quality in their use and commercialization.

Keywords:

biodigester, organic matter, earthworm, vermicompost.

RESUMEN

La digestión anaeróbica es una tecnología utilizada en la degradación de los residuos orgánicos, con la posibilidad de obtener productos como biogás y digestatos, los cuales tienen concentraciones significativas de nutrientes. Sin embargo, usarlos sin ningún tratamiento previo puede causar varios problemas debido a la presencia de materia orgánica no estabilizada y concentraciones excesivas de nutrientes que alcanzan niveles fitotóxicos, así como la contaminación del agua y el aire. Por lo tanto, en este trabajo, presentamos un proceso de refinación de digestatos sólidos de un biodigestor alimentado con heces de oveja, mediante vermicompostaje, en combinación con desechos de plantas y utilizando lombrices de tierra de las especies E. andrei y E. fetida. Los valores de digestato al final del vermicompostaje mostraron estar dentro de los rangos óptimos de conductividad eléctrica, con valores ≤4 dS/m. Los valores de pH estuvieron entre 5,39 y 7. El porcentaje de materia orgánica estuvo entre 20 y 50%. Se podría demostrar que el proceso de refinación aumentó la concentración de K para los grupos F 50:50, F 75:25 y A 75:25, con un valor de P = 0,0001. Los tratamientos con E. fetida mostraron las concentraciones (g/L) más altas de N = 2,71 ± 1,10, P = 0,89 ± 0,69 y K = 4,01 ± 1,57. La importancia de dar un valor agregado a los productos generados durante procesos de digestión anaerobia contribuye a mejores rendimientos y calidad en su uso o comercialización.

Palabras clave:

biodigestor, lombriz de tierra, materia orgánica, vermicompostaje.

Introduction

Anaerobic digestion (AD) is a sustainable option in the treatment of organic waste since it takes advantage of biomass as a renewable energy source. From the AD process, mainly two products are obtained: biogas, which is used as fuel, and a stabilized residual material called 'digestate', used as a soil conditioner and/or biofertilizer for crops. The term digestate refers to the liquid-solid material obtained at the end of the AD process. Digestate resulting from this process contains a high concentration of organic matter (OM) and various plant nutrients, and it is ideal for use as a fertilizer in agriculture (Guilayn etal., 2019).

Digestate, when used incorrectly, can cause problems such as the eutrophication of water bodies (Zeng, Lemaire, Yuan, and Keller, 2003; Buosi, Pauleto, Lansac-Tôha, and Velho, 2011), groundwater contamination (Hao and Chang, 2002), and air pollution, due to the release of ammoniacal nitrogen (NH3). Walker, Charles, and Cord-Ruwisch (2009) and Zeng, De Guardia, and Dabert, (2016) point out that, although the AD process provides products with a high nutrient content, which can substitute some chemical fertilizers in agriculture, their application may cause some problems:

  1. The presence of biodegradable matter, which is not completely stabilized, within the digestate (Teglia, Tremier, and Martel, 2011).

  2. A high concentration of NH3, which increases the nutritional value of the digestates. However, excessive concentrations lead to phytotoxic effects and generate NH3 emissions (Ramírez, Domene, Ortiz, and Alcañiz, 2008; Nkoa, 2014).

  3. The presence of pathogens that can survive up to a year, especially in mesophilic digestion systems (Appels, Baeyens, Degrève, and Dewil, 2008).

  4. Difficulty when storing and transporting digestates, due to their high-water content.

Therefore, digestates must be conditioned or refined. To this effect, the main activity is to separate the digestate into two phases: liquid and solid. Tampio, Marttinen, and RintalaJ. (2016) indicate that the liquid fraction has significant amounts of potassium (K) and nitrogen (N), which are soluble in water, while the solid fraction contains considerable concentrations of phosphorus (P). It is worth mentioning that the solid fraction is mostly used as an organic fertilizer, in order to obtain valuable and better marketable end products, both in traditional and ornamental agriculture (Holm-Nielsen, Al Seadi, and Oleskowicz-Popiel, 2009). Still, pollutants must be eliminated through partial composting with additives at high temperatures (Kaushik and Garg, 2003). In this process, the material is aerated and stabilized, the moisture content is reduced, and the pathogens are inactivated (Yadav, Tare, and Ahammed, 2012; Yadav and Garg, 2016; Malmska, Zabochnicka-Swiatek, Cáceres, and Marfa, 2016).

Due to its importance, the solid fraction of digestates has been traditionally refined through biological processes such as composting. However, traditional composting has some disadvantages, such as long durations, frequent aeration (often mechanized), and the loss of nutrients to N volatilization, due to the high temperatures it can reach (Zeng, de Guardia, Daumoin, and Benoist, 2012; Wang, Selvam, Chan, and Wong, 2013). Instead, organic wastes can also be recycled by a wide variety of soil organisms such as bacteria, fungi, and invertebrates such as earthworms (Oyedele, Schj0nning, and Amusan, 2006). The decomposition of complex organic materials into simpler and more assimilable substances (humus), and without odors derived from the action of macroorganisms (i.e. earthworms), is called 'vermicomposting'. Domínguez and Pérez-Losada (2010) define it as an accelerated process of bio-oxidation and stabilization of organic waste that is based on the interaction between earthworms and microorganisms.

Domínguez and Pérez-Losada (2010) indicate that earthworms have been used in vermicompost due to their high capacity to colonize organic waste, its high consumption, rapid digestion, and assimilation of OM, high reproducibility and its ability to tolerate a wide range of environmental conditions. Domínguez, Aira, and Gómez-Brandón (2010) describe that the vermicomposting process can be divided into two phases: (1) The direct operation phase where earth-worms process organic materials through ingestion, digestion, and assimilation, modifying the physicochemical properties and the microbial profiles of the medium; and (2) the indirect operation phase, in which microorganisms that can coexist and/or spread favorably by virtue of the existence of earthworms.

There are two highly important species: Eisenia fetida, and Eisenia andrei, which have been the most used in organic waste biodegradation (Domínguez et al., 2010). However, the application of vermicomposting has precedents, so there are control indicator parameters with established values or ranges, which favor its application in unconventional materials such as digestates. Huang, Li, Wei, Fu, and Chen (2014) report a pH stability in fruit and vegetable waste during the vermicomposting process, with initial and final values of 4,9 and 7,3, respectively, as well as the stabilization of electrical conductivity, which ranges from 1,7 to 7,1 dS/m. Norbu (2002) reports that vermicomposting reduced the OM content in municipal waste by 19,11%, 7,3% more than traditional composting. Santamaría and Ferrera (2002) concluded that the growth of E. andrei in different combinations of sheep feces increases from 0,23 g per individual at the beginning, to 0,49 g per individual at the end of the process, in addition to a reproduction capacity of 1 244%, regarding the sowing of earthworms, after 4 months of process. Durán and Henríquez (2009) reported the use of E. fetida in coffee degradation, cattle manure, household waste, banana production waste, and ornamental plant waste. The initial weight per individual was 0,37 g, and the final, up to 0,66g per individual, with a population increase of 2 816%, compared to the beginning.

Vermicompost, unlike compost, has more humidified and stable organic compounds, and its fertilizing effect is based on the slower release of nutrients that have higher concentrations of growth regulators, which have a positive effect on plant development (Jack and Thies, 2006). Vermicomposting of processed sewage sludge has shown higher N and P concentrations in comparison with traditional composting (Hait and Tare, 2011, 2012; Hanc and Dreslova, 2016). Another criticism of digestate composting is the obtaining of a heterogeneous final product (Kim, Ahn, and Speece, 2002). It has been shown that finer composts release more N and P than coarse compost (Duong, Penfold, and Marschner, 2012). Hanc and Dreslova (2016) report that vermicomposting achieves a finer and more homogeneous final product compared to classical composting. This indicates that, in general, the quality of vermicomposting is better (Sinha, Agarwal, Chauhan, and Valani, 2010).

Agricultural sectors, such as nurseries, which do not use large tracts of soil, require substrates with physical and physicochemical properties that meet production needs, making frequent use of peat, agrolita, and compost, with higher costs (Bustamante et al., 2008; Moral, Paredes, Bustamante, Marhuenda-Egea, and Bernal, 2009). In Mexico, norm NMX-FF-109-SCFI-2008 (Secretaria de Economia, 2008) establishes the quality specifications that any earthworm humus that is produced or sold must meet. Thus, the objectives of this work were: 1) To study the feasibility of recycling and treating the solid phase of a digestate obtained from the AD of sheep feces, through vermicomposting with E. fetida and E. Andrei; and 2) to evaluate the final characteristics and value-added properties of the obtained vermicompost, taking the above-mentioned Mexican norm as reference.

Method

Obtaining digestate

The digestate came from an anaerobic digester installed in a cattle sheep ranch located in the municipality of Jalapa, Tabasco, Mexico. Only the solid fraction of the digestates was used.

Organisms

Earthworms of the species E. andrei and E. fetida were used. The organisms were taken from the vermicomposting area of the Waste Collection and Treatment Center (CATRE) of the Academic Division of Biological Sciences (DACBiol) of the Universidad Juárez Autónoma de Tabasco (UJAT) where the treatment of vegetable waste from coffee shops is carried out.

Assembly of experimental units

Sludge processing was carried out in experimental units (EU) consisting of 19 L plastic containers, each containing 5 kg of different digestate proportions with vegetable waste used in the vermicompost area (Table 1). The height of the material beds was 10 cm. The amount of biomass (organisms) added to each EU was 5,00 ± 0,02 g. On average, 17 individuals were used per EU. In each treatment group, any EU to which no vegetable debris or organisms were added was considered blank.

Table 1: Experimental design

Digestate (kg) Vegetable wastes (kg) Proportions Species Biomass (g) Replica
5,00 - 100 E. fetida
4,50 0,50 90:10 (F group)
3,75 1,25 75:25 E. andrei 5 3
2,50 2,50 50:50 (A group)
5,00 - Blank -

Source: Authors

Once a week, between 30 and 50 ml of water were added with a sprayer and mixed manually.

Monitoring

During the experimental process (9 weeks), moisture content was monitored weekly and determined by weight loss when putting 10 g of wet sample into an oven at 103 °C for 24 h, according to ASTM D-2974 (ASTM International, 2000).

Where:

  • M(%): moisture (%)

  • W0: weight of the container (g)

  • W1: wet weight of the material (g)

  • Wh: weight of the container plus the wet weight of the earthworm humus (g)

  • Whd: weight of the container plus dry weight of the earthworm humus (g)

Similarly, the percentage of OM was determined by calcinating volatile solids at 550 °C for 2 h (Zagal and Zadzwaka, 2007). The solids obtained during moisture determination were used in this procedure.

Where:

  • OM(%): percentage of OM(%)

  • PWC: crucible weight with calcined sample (g)

  • PW: crucible weight (g)

Every 10 days, parameters such as pH and electrical conductivity (EC) were monitored. Extracts were made in water, using 10 g of the dried sample at 103 °C, and diluted in 90 ml of distilled water. This mixture was stirred for 10 min and reposed for other 30. A supernatant was taken to finally obtain extracts that were analyzed with multiparameter equipment (HANNA® HI9828).

Nutrients

At the end of the experimental process, the nutritional contents of N, P, and K were determined with photometric equipment (HANNA® HI83225).

Apparent density

Apparent density (AD) was determined by using a 100 ml graduated cylinder, which was filled with the material previously dried and sieved in a 5 pm mesh. A rubber stopper was placed and hit 3 times on a flannel to avoid damaging the container. The difference in volume by compaction was again filled, until it reached reaching 100 ml. The full specimen was weighed, and the density calculated with the following equation:

Where:

  • AD : apparent density (g/ml)

  • W : Container weight (g)

  • V : Volume of the container (mL)

Biomass growth

At the end of the experiment, the organisms were counted and weighed to determine the amount of biomass obtained from each species, according to the initial values.

Statistical analysis

All obtained results were evaluated by one-way variance analysis (ANOVA) and Tukey tests with the STATGRAPHICS® Centurion XV.2 statistical package.

Results and discussion

The solid fraction was extracted manually and placed in sanitary registry with a false background to drain the most water (Figure 1 (a, b)). The organisms used were obtained from an organic waste vermicomposting process (Figure 1 (c, d)). EU assembly is shown in Figure 1 (e, f).

a) Biodigester installation; b) solid fraction ofthe digestates; c) E. andrei and d) E. fetida; e, f) EU assembly.

Figure 1: a) Biodigester installation; b) solid fraction ofthe digestates; c) E. andrei and d) E. fetida; e, f) EU assembly.

Source: Authors

The behavior of the moisture values is shown in Figure 2.

Moisture percent behavior in EUs with E. andrei and E. fetida.

Figure 2: Moisture percent behavior in EUs with E. andrei and E. fetida.

Source: Authors

Treatments with E. andrei species were maintained within a range of 70 to 75% humidity, with slight decreases at the end of the process. Treatments with E. fetida were kept in a slightly higher range, from 75 to 80% humidity, except for the 50:50 treatment, which presented a value close to 70%. In general, moisture content was adequate during vermicomposting, which confirms what was reported by Vargas-Machuca, Romero, and Fernandez, (2014), who indicate that a minimum 70% humidity is required.

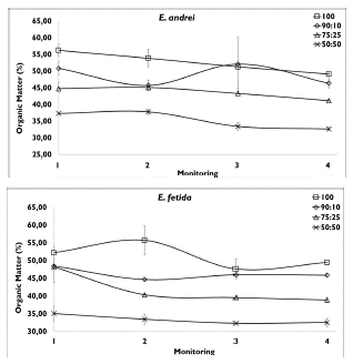
The behavior of the OM percentage is presented in Figure 3, and its final values in Table 2.

Behavior of OM percentage in the EUs with E. andrei and E. fetida.

Figure 3: Behavior of OM percentage in the EUs with E. andrei and E. fetida.

Source: Authors

Table 2: Final values of the percentage of MO for each treatment

Treatment E. andrei E. fetida
Starting (g/kg) Final (g/kg) Loss (%) Starting (g/kg) Final (g/kg) Loss (%)
100 562,20 490,50 12,75 522,10 494,40 5,30
90:10 508,30 463,50 8,81 484,40 458,50 5,35
75:25 447,10 411,10 8,05 482,10 388,70 19,37
50:50 372,90 326,30 12,50 350,60 325,20 7,24

Source: Authors

OM values in treatments with both species ranged from 35 to 58%, and a decrease was evident in all of them. E. andrei reached the highest removal rates: 12,75 and 12,50% in extreme treatments 100 and 50:50, respectively. This behavior can be attributed to the voracity of the species and its ease of adaptation to the environment. In treatments with the E. fetida, the decrease was more pronounced in treatments 75:25 and 50:50, with rates of 19,37 and 7,24%, respectively.

This is due to the traditional use of this species in the degradation of plant material, mainly in the easy metabolism of carbohydrates. Finally, the OM content of all the treatments was between 35 and 50%, which allowed them to meet the requirements of NMX-FF-109-SCFI-2008 (Secretaría de Economía, 2008) which requires a range from 20 to 50%.

In Table 3, the number and weight of the individuals at the end of the vermicomposting process are shown.

Table 3: Reproduction and growth of organisms by treatment

Treat. E. andrei E. fetida
Number Weight (g) Individual weight (g) Number Weight (g) individual weight (g)
100 223 21,4 0,10 227 21,87 0,10
90:10:00 230 21,77 0,09 308 17,8 0,06
75:25:00 303 26,13 0,09 427 25,73 0,06
50:50:00 304 20,9 0,07 403 20,39 0,05

Source: Authors

An increase from 230% to 250% in the initial population was noticed, especially in treatments F 75:25 and F 50:50. However, the values are lower than the population increase reported by Santamaria Romero and Ferrera Cerrato (2002), as well as by Durán and Henriquez (2009). It is worth noting that the weight of the biomass was 4,1% greater in treatments with E. andrei. Considering the weight of the biomass divided by the number of individuals, the weight per individual was 26,14% higher in E. andrei compared to E. fetida. Both the growth and reproduction of organisms were noticeable in this work. It is probable that a higher number of organisms at the beginning and a longer processing time could have achieved higher reproduction rates.

The behavior of the pH values during the process is observed in Figure 4. It shows the final average values.

Behavior of pH in EU's with the species E. andrei and E. fetida.

Figure 4: Behavior of pH in EU's with the species E. andrei and E. fetida.

Source: Authors

The final pH values in the treatments with the E. andrei were between 5,39 and 6,91, whereas, with E. fetida, they were between 5,62 and 7,00. It was possible to observe that a higher presence of digestate in the treatments decreases the pH values. This can be attributed to a higher concentration of volatile fatty acids, as mentioned by Teglia et al. (2011). The final pH values of the 50:50 treatments for both species match the ones reported by Huang et al. (2014), who saw pH values of 7,3. However, despite the decrease in pH in treatments with a higher OM content, the elimination, growth, and development of organisms were not inhibited. Finally, the NMX-FF-109-SCFI-2008 (Secretaria de Economía, 2008) indicates that the final pH values should be between 5,5 and 8,5 which places the ones from the present study within the range.

The behavior of electrical conductivity is shown in Figure 5.

Behavior of electrical conductivity in EUs with the species E. andrei and E. fetida.

Figure 5: Behavior of electrical conductivity in EUs with the species E. andrei and E. fetida.

Source: Authors

The initial EC ranges were 1,13 - 6,4 dS/m and 0,14-10 dS/m for E. andrei, and E. fetida, respectively. In the end, the EC ranges were more stable, with 3,11 - 4,37 dS/m and 3,12 - 3,99 dS/m in both species. However, the values were much higher than those reported by Huang et al. (2014). A very pronounced increase was observed in weeks 5 to 7 and there is one explanation: the EUs did not have an exit for excess liquid, the salts and minerals were concentrated in the bottom, and an inhomogeneous mixture when taking samples for analysis allowed said variation. However, the final EC values remained below the 4 dS/m established by NMX-FF-109-SCFI-2008 (Secretaria de Economía, 2008), except for the 100% treatment with E. andrei (4,37±0,21 dS/m).

In Table 4, nutrient concentrations are shown for each species.

Table 4: Nutrient values at the end of the process

* Blank: the values are respective for both species.

Source: Authors

The values highlighted in Table 4 indicate the maximum values obtained for each class of nutrients. The concentrations of N in the treatments with both species were higher than in the blank. This effect was also observed in the concentration of P and K in the treatments with E. fetida. Therefore, these results contribute to what was mentioned by Hait and Tare (2011, 2012), Duong et al. (2012), and Hanc and Dreslova (2016), who report increases in the values of N and P in vermicomposting compared to traditional composting. Furthermore, in this work, a pre-composting process was not carried out as indicated by Kaushik and Garg (2003). Thus, it is evident that there was no loss of N due to volatilization, as reported by Zeng et al. (2012) and Wang et al. (2013). The results obtained differ from those reported by Holm-Nielsen et al. (2009), since vermicomposting not only showed high values of P, but there were also significant and higher values of N and K.

However, the one-way analysis of variance (ANOVA), performed on the obtained N and P values did not show statistically significant differences, with values of P = 0,1306 and 0,2192, respectively. Still, in the ANOVA of K, a value of P = 0,0001 was obtained, which indicates highly significant statistical differences between the treatments (Figure 6).

Analysis of variance with standard error.

Figure 6: Analysis of variance with standard error.

Source: Authors

With a multiple range contrast test (Tukey) and a Matt-Whitney test, it was determined that treatments F 50:50, F 75:25, and A 75:25, had the highest concentrations of K in comparison with the other treatments, as seen in Figure 6. Equal letters mean similarity between groups, but all treatments tend to be older than the witness treatments.

The final values of apparent density are shown in Table 5.

Table 5: Bulk density values at the end of the process

Treatment E. andrei (g/ml) E. fetida (g/ml)
100 0,51 0,49
90:10 0,53 0,49
75:25 0,55 0,53
50:50 0,59 0,57
Blank 0,42 -

Source: Authors

All obtained values were within the range established by NMX-FF-109-SCFI-2008 (Secretaría de Economía, 2008): from 0,40 to 0,90 g/ml. There is a trending increase in apparent density, with respect to the increase in the proportions of the treatments. This trend can be interpreted as a better particle size homogeneity, where a finer product is compared to blank values, thus contributing to the reports by Kim et al. (2002) and Hanc and Dreslova (2016).

Conclusions

The viability of the vermicomposting process in the refining of the solid fraction of digestates has demonstrated a stabilization in physicochemical parameters. The quality of the final product meets most of the established parameters in the Mexican standard. The species E. andrei presented values close to the upper limit of the regulated ranges, fulfilling 80% of the measured variables. Therefore, it can concluded that this species are considered more suitable for use in this process, especially since it has a higher OM removal capacity. The use of E. fetida has a greater capacity for reproduction and growth, as well as a higher concentration of nutrients, particularly K. However, this species offers a slightly similar concentration of K, with a higher proportion of digestates and fewer plant residues. The effect of pH variation allows us to generate two hypotheses:

  1. There was a presence of VFA, resulting in a greater presence of digestates that caused lower pH levels;

  2. and the final humidity was affected, since the treatments with higher humidity (E. fetida) showed a slight increase in pH, and treatments with lower moisture content (E. andrei) had lower pH values.

Finally, it is important to expand this research in the field of microbiology, such as how to study pathogens, digestive capacity, the presence of heavy and toxic metals, and the feasibility of applying the final product in crops on a pilot scale.

References

  1. Appels, L., Baeyens, J., Degreve, J., and Dewil, R. (2008). Principles and potential of the anaerobic digestion of waste-activated sludge. Progress in Energy and Combustion Science, 34(6), 755-781. 10.1016/j.pecs.2008.06.002 [DOI] 🠔
  2. ASTM International (2000). Standard Test Methods for Moisture, Ash, and Organic Matter of Peat and Other Organic Soils (D 2974 - 00). https://www.academia.edu/27254290/Standard_Test_Methods_for_Moisture_Ash_and_Organic_Matter_of_Peat_and_Other_Organic_Soils_1 [URL] 🠔
  3. Buosi, P. R. B., Pauleto, G. M., Lansac-Toha, F. A., and Velho, L. F. M. (2011). Ciliate community associated with aquatic macrophyte roots: Effects of nutrient enrichment on the community composition and species richness. European Journal of Protistology, 47(2), 86-102. 10.1016/j.ejop.2011.02.001 [DOI] 🠔
  4. Bustamante, M. A., Paredes, C., Moral, R., Agulló, E., Pérez-Murcia, M. D., and Abad, M. (2008). Composts from distillery wastes as peat substitutes for transplant production. Resources, Conservation and Recycling, 52(5), 792-799.10.1016/j.resconrec.2007.11.005 [DOI] 🠔
  5. Domínguez, J., Aira, M., and Gómez-Brandón, M. (2010). Vermicomposting: Earthworms enhance the work of microbes. In Microbes at Work: From Wastes to Resources (pp. 93-114). Berlin, Heidelberg: Springer-Verlag. 10.1007/978-3-642-04043-65 [DOI] 🠔
  6. Domínguez, J. and Pérez-Losada, M. (2010). Eisenia fetida (Savigny, 1826) y Eisenia andrei Bouché, 1972 son dos especies diferentes de lombrices de tierra. Acta Zoológica Mexicana (Nueva Serie), 26(2), 321-331. 10.21829/azm.2010.262897 [DOI] 🠔
  7. Duong, T. T. T., Penfold, C., and Marschner, P. (2012). Differential effects of composts on properties of soils with different textures. Biology and Fertility of Soils, 48(6), 699-707. 10.1007/s00374-012-0667-4 [DOI] 🠔
  8. Durán, L. and Henríquez, C. (2009). Crecimiento y reproducción de la lombriz roja (Eisenia foetida) en cinco sustratos orgánicos. Agronomía Costarricense, 33(2), 275-281. http://www.redalyc.org/pdf/436/43613279011.pdf [URL] 🠔
  9. Secretaría de Economía (2008). NMX-FF-109-SCFI-2008 (Definitiva). Diario Oficial de la Federación, 10 de junio de 2008. https://www.sinec.gob.mx/SINEC/Vista/Normalizacion/DetalleNMX.xhtml?pidn=MWVudjczeGZzZ1BnUXVGY3pDdFBSZz09 [URL] 🠔
  10. Guilayn, F., Jimenez, J., Martel, J. L., Rouez, M., Crest, M., and Patureau, D. (2019). First fertilizing-value typology of digestates: A decision-making tool for regulation. Waste Management, 86, 67-79. 10.1016/j.wasman.2019.01.032 [DOI] 🠔
  11. Hait, S. and Tare, V. (2011). Optimizing vermistabilization of waste activated sludge using vermicompost as bulking material. Waste Management, 31(3), 502-511. 10.1016/j.wasman.2010.11.004 [DOI] 🠔
  12. Hait, S. and Tare, V. (2012). Transformation and availability of nutrients and heavy metals during integrated composting-vermicomposting of sewage sludges. Ecotoxicology and Environmental Safety, 79, 214-224. 10.1016/j.ecoenv.2012.01.004 [DOI] 🠔
  13. Hanc, A. and Dreslova, M. (2016). Effect of composting and vermicomposting on properties of particle size fractions. Bioresource Technology, 217, 186-189. 10.1016/j.biortech.2016.02.058 [DOI] 🠔
  14. Hao, X. and Chang, C. (2002). Effect of 25 annual cattle manure applications on soluble and exchangeable cations in soil. Soil Science, 167(2), 126-134. 10.1097/00010694200202000-00005 [DOI] 🠔
  15. Holm-Nielsen, J. B., Al Seadi, T., and Oleskowicz-Popiel, P. (2009). The future of anaerobic digestion and biogas utilization. Bioresource Technology , 100(22), 5478-5484. 10.1016/j.biortech.2008.12.046 [DOI] 🠔
  16. Huang, K., Li, F., Wei, Y., Fu, X., and Chen, X. (2014). Effects of earthworms on physicochemical properties and microbial profiles during vermicomposting of fresh fruit and vegetable wastes. Bioresource Technology , 170, 45-52. 10.1016/j.biortech.2014.07.058 [DOI] 🠔
  17. Jack, A. and Thies, J. (2006). Compost and Vermicompost as Amendments Promoting Soil Health. In In book: Biological Approaches to Sustainable Soil Systems (Ed. Uphoff, N. pp. 453-466) CRC Press. https://www.researchgate.net/publication/255702142_Compost_and_Vermicompost_as_Amendments_Promoting_Soil_Health [URL] 🠔
  18. Kaushik, P. and Garg, V. K. (2003). Vermicomposting of mixed solid textile mill sludge and cow dung with the epigeic earthworm Eiseniafoetida. Bioresource Technology , 90(3), 311-316. 10.1016/S0960-8524(03)00146-9 [DOI] 🠔
  19. Malmska, K., Zabochnicka-Swiatek, M., Cáceres, R., and Marfa, O. (2016). The effect of precomposted sewage sludge mixture amended with biochar on the growth and reproduction of Eisenia fetida during laboratory vermicomposting. Ecological Engineering, 90, 35-41. 10.1016/j.ecoleng.2016.01.042 [DOI] 🠔
  20. Moral, R., Paredes, C., Bustamante, M. A., Marhuenda-Egea, F., and Bernal, M. P. (2009). Utilisation of manure composts by high-value crops: safety and environmental challenges. Bioresource Technology , 100(22), 5454-5460. 10.1016/j.biortech.2008.12.007 [DOI] 🠔
  21. Nasir, A. (Ministry of H. and L. G. M). (2007). Institutionalizing Solid Waste Management. In Malaysia: Department of National Solid Waste Management. 🠔
  22. Nkoa, R. (2014). Agricultural benefits and environmental risks of soil fertilization with anaerobic digestates: A review. Agronomy for Sustainable Development, 34(2), 473-492. 10.1007/s13593-013-0196-z [DOI] 🠔
  23. Norbu, T. (2002). Pretreatment of Municipal Solid Waste by Windrow Composting and Vermicomposting. Bangkok, Thailand: Asian Institute of Technology. 🠔
  24. Oyedele, D. J., Schj0nning, P., and Amusan, A. A. (2006). Physicochemical properties of earthworm casts and uningested parent soil from selected sites in southwestern Nigeria. Ecological Engineering, 28(2), 106-113. 10.1016/j.ecoleng.2006.05.002 [DOI] 🠔
  25. Ramírez, W. A., Domene, X., Ortiz, O., and Alcañiz, J. M. (2008). Toxic effects of digested, composted and thermally-dried sewage sludge on three plants. Bioresource Technology , 99(15), 7168-7175. 10.1016/j.biortech.2007.12.072 [DOI] 🠔
  26. Santamaría, S., and Ferrera, R. (2002). Dinámica poblacional de eisenia andrei (bouché 1972) en diferentes residuos orgánicos. Terra Latinoamericana, 20(3), 303-310. http://www.redalyc.org/pdf/573/57320309.pdf [URL] 🠔
  27. Sinha, R. K., Agarwal, S., Chauhan, K., and Valani, D. (2010). The wonders of earthworms & its vermicompost in farm production: Charles Darwin's 'friends of farmers', with potential to replace destructive chemical fertilizers. Agricultural Sciences, 07(02), 76-94. 10.4236/as.2010.12011 [DOI] 🠔
  28. Tampio, E., Marttinen, S., and Rintala, J. (2016). Liquid fertilizer products from anaerobic digestion of food waste: Mass, nutrient and energy balance of four digestate liquid treatment systems. Journal of Cleaner Production, 125, 22-32. 10.1016/j.jclepro.2016.03.127 [DOI] 🠔
  29. Teglia, C., Tremier, A., and Martel, J. L. (2011). Characterization of solid digestates: Part 2, assessment of the quality and suitability for composting of six digested products. Waste and Biomass Valorization, 2(2), 113-126. 10.1007/s12649-010-9059-x [DOI] 🠔
  30. Vargas-Machuca, R., Romero, E., and Férnandez, M. (2014). Vermicompostaje: procesos, productos y aplicaciones. In J. Moreno, R. Moral, G. Mo. J. L., J. A. Pascual, and B. M. P. (Eds.), De Residuos a Recurso, El camino hacia la sostenibilidad (1st ed.). Red Española de Compostaje; Ediciones Mundi-Prensa. https://books.google.com.mx/books/about/Vermicompostaje_procesos_productos_y _apl.html?id=AhpNBQAAQBAJ&printsec=frontcover&s ource=kp_read_button&redir_esc=y#v=onepage&q&f=false [URL] 🠔
  31. Walker, L., Charles, W., and Cord-Ruwisch, R. (2009). Comparison of static, invessel composting of MSW with thermophilic anaerobic digestion and combinations of the two processes. Bioresource Technology , 100(16), 3799-3807. 10.1016/j.biortech.2009.02.015 [DOI] 🠔
  32. Wang, X., Selvam, A., Chan, M., and Wong, J. W. C. (2013). Nitrogen conservation and acidity control during food wastes composting through struvite formation. Bioresource Technology , 147, 17-22. 10.1016/j.biortech.2013.07.060 [DOI] 🠔
  33. Yadav, A., and Garg, V. K. (2016). Influence of stocking density on the vermicomposting of an effluent treatment plant sludge amended with cow dung. Environmental Science and Pollution Research, 23(13), 13317-13326. 10.1007/s11356-016-6522-7 [DOI] 🠔
  34. Yadav, K. D., Tare, V., and Ahammed, M. M. (2012). Integrated composting-vermicomposting process for stabilization of human faecal slurry. Ecological Engineering, 47, 24-29. 10.1016/j.ecoleng.2012.06.039 [DOI] 🠔
  35. Zagal, E. and Zadzwaka, R. (2007). Protocolo de Métodos de Análisis para suelos y lodos. http://www.cofes.org.ar/descargas/relas/4Jornada/Protocolos_suelosyJodos_Sadza wka.pdf [URL] 🠔
  36. Zeng, R. J., Lemaire, R., Yuan, Z., and Keller, J. (2003). Simultaneous nitrification, denitrification, and phosphorus removal in a lab-scale sequencing batch reactor. Biotechnology and Bioengineering, 84(2), 170-178. 10.1002/bit.10744 [DOI] 🠔
  37. Zeng, Y., De Guardia, A., and Dabert, P. (2016). Improving composting as a post-treatment of anaerobic digestate. Bioresource Technology , 201 , 293-303. 10.1016/j.biortech.2015.11.013 [DOI] 🠔
  38. Zeng, Y., de Guardia, A., Daumoin, M., and Benoist, J. C. (2012). Characterizing the transformation and transfer of nitrogen during the aerobic treatment of organic wastes and digestates. Waste Management, 32(12), 2239-2247. 10.1016/j.wasman.2012.07.006. [DOI] 🠔
Sosa-Olivier, J. A. and Laines-Canepa, J. R. (2020). Refining of the solid fraction of sheep feces digestates from an anaerobic digester. Ingeniería e Investigación, 40(2), 14-21. 10.15446/ing.investig.v40n2.83364