Revista Facultad Nacional de Agronomía Medellín
0304-2847
2248-7026
Facultad de Ciencias Agrarias - Universidad Nacional de Colombia
https://doi.org/10.15446/rfnam.v73n3.80546

Recibido: 31 de octubre de 2019; Aceptado: 9 de julio de 2020

Phenological patterns of defoliation and refoliation processes of rubber tree clones in the Colombian northwest

Patrones fenológicos de los procesos de defoliación y refoliación en clones de caucho en el noroeste de Colombia

J. Guerra-Hincapié, 1O. Córdoba-Gaona, 2J. Gil-Restrepo, 1D. Monsalve-García, 1J. Hernández-Arredondo, 1E. Martínez-Bustamante, 2

Corporación Colombiana de Investigación Agropecuaria - AGROSAVIA. Centro de Investigación El Nus. Corregimiento de San José del Nus, San Roque, Antioquia, Colombia. <jjguerra@agrosavia.co> Corporación Colombiana de Investigación Agropecuaria San Roque Antioquia Colombia
Facultad de Ciencias Agrarias. Universidad Nacional de Colombia. AA. 1779, Medellín, Colombia. Universidad Nacional de Colombia Facultad de Ciencias Agrarias Universidad Nacional de Colombia Medellín Colombia

ABSTRACT

The knowledge of the defoliation-refoliation process in rubber cultivation allows the development of management strategies in the production system to improve rubber yield. The objective of this study was to determine the intensity and duration of defoliation-refoliation of rubber clones FX 3864, IAN 710 and IAN 873 in the municipality of Tarazá and the FX 3864 and IAN 873 clones in the municipality of Nechí (northwestern Colombia). From October 2015 to June 2016, the measurements of the necromass were carried out in each location for each clone. The light environment was quantified, employing the hemispheric photographs technique to estimate canopy openness percentage (CO) and leaf area index. The assessed weeks were grouped by Principal Component Analysis (PCA) based on the original phenology and climatic variables. The defoliation-refoliation process was analyzed descriptively using graphical representations of the trend for the phenological variables that best described this process. The relationship between climatic and phenological variables in the period evaluated was evidenced; the rainfall was the most critical climatic characteristic in the induction of the defoliation process. The leaf area index was reduced to a minimum value in February, with values of 0.52 for IAN 710 clone in Tarazá, and 0.64 for the IAN 873 clone in Nechí, which corresponded to the highest defoliation stage in both locations. The refoliation period was short (4 to 6 weeks) and occurred during the dry season for all the clones in both places.

Keywords:

Hevea brasiliensis, Leaf area index, Phenology, Tropical species.

RESUMEN

El conocimiento del proceso de defoliación-refoliación en el cultivo del caucho permite desarrollar estrategias de manejo en el sistema productivo encaminadas a mejorar el rendimiento de caucho. El objetivo de este estudio fue determinar la intensidad y duración de la defoliación-refoliación de los clones de caucho FX 3864, IAN 710 e IAN 873 en el municipio de Tarazá y los clones FX 3864 e IAN 873 en Nechí, ubicados en el noroccidente de Colombia. Durante el período de defoliación-refoliación entre octubre de 2015 y junio de 2016, la recolección y cuantificación de necromasa se llevó a cabo en cada plantación y para cada clon. El ambiente lumínico se cuantificó empleando la técnica de fotografías hemisféricas para estimar el porcentaje de apertura del dosel (CO) y el índice de área foliar en el cultivo de caucho. Para agrupar las semanas de medición por los procesos fenológicos ocurridos, se realizó un Análisis de Componentes Principales (PCA) basado en las variables de fenología y de clima. La evolución del proceso de defoliación-refoliación se analizó descriptivamente mediante representaciones gráficas de tendencia para las variables fenológicas que mejor describieron este proceso. Se evidenció la relación entre las variables climáticas y fenológicas en el período evaluado, siendo la lluvia, la característica climática más crítica en la inducción del proceso de defoliación. El índice de área foliar se redujo a un valor mínimo en febrero, con valores de 0.52 para el clon IAN 710 en Tarazá, y 0.64 para el clon IAN 873 en Nechí, que correspondió a la etapa de defoliación más alta en ambos lugares. La duración del período de refoliación fue corta (4 a 6 semanas) y se produjo durante la estación seca para todos los clones en ambos lugares.

Palabras clave:

Hevea brasiliensis, Índice de área foliar, Fenología, Especies tropicales.

Rubber tree [Hevea brasiliensis (Willd. Ex A. Juss.) Müll. Arg.] is a perennial plant species belonging to the Euphorbiaceae family and is native to the Amazon River basin. This zone is characterized by having an Intertropical environment with high rainfall, temperature, and radiation (Priyadarshan, 2017). The rubber tree is cultivated mainly in the equatorial zone between 10° S and 10° N (Meenakumari et al., 2018). In northwestern Colombia, one of the most important producing areas is called El Cordón Cauchero-Cacaotero. This zone has the largest number of producers (79%) in the department of Antioquia (Colombia), including the localities Tarazá and Nechí, which are representative of this area (CCC, 2015).

Biological events in plants are sensitive to climatic changes (Richardson et al., 2013), and their phenological behavior is influenced by factors such as temperature, rainfall, radiation, and soil nutrients (Zhai et al., 2017; Fu et al., 2015). In the specific case of rubber, its growth is annual, and the defoliation period can vary depending on the genetic material, planting density (Righi et al., 2001), and altered environmental conditions (Priyadarshan, 2017). According to Guyot et al. (2008), the period of refoliation lasts approximately one month. It includes the emergence of the leaf to the mature leaf stage described by Lieberei (2007) as stage D.

Paranjothy (2018) mentioned that rubber trees respond to drought stimuli, which generate variation in leaf phenology at different times and locations. However, Priyadarshan (2017) indicated that the phenological phases respond to the latitudinal position where plantations are located. In the north of the equator, the defoliation occurs in February-March, mainly associated with low humidity and high transpiration rate, while in the south of the equator in September-October, after winter with low temperature and water deficiency.

According to Carr (2012), defoliation occurs in trees older than three years. It is induced by dry or less humid climates where trees can remain almost leafless for up to four weeks. In addition, radiation in tropical areas can cause defoliation and refoliation (Borchert et al., 2015).

In tropical climates, rubber plants produce latex throughout the year with a marked reduction in the defoliation and refoliation periods since photosynthesis is restricted (Righi et al., 2001), which decreases the amount of reserves (carbohydrates) and total production (Simbo et al., 2013). The periods of defoliation, refoliation and subsequent rubber tree flowering occur at the same time of the year for all clones. Still, the precocity, homogeneity and speed of the event diverge substantially (Guyot, 2008).

It is necessary to know the behavior of natural rubber plantations and the functioning of different genotypes in rubber-producing zones of Colombia (Córdoba-Ganoa et al., 2018) to determine relationships between climatic characteristics with defoliation-refoliation patterns and their dynamics with the occurrence of diseases. According to Guyot and Le Guen (2018), refoliation is the phenological phase that is most susceptible to the South American Leaf Blight (SALB) caused by the fungus Pseudocercospora ulei (P. Henn.) V. Arx (Hora Junior et al., 2014), which is a major limiting factor for latex production by significantly reducing the tree leaf area (Jaimes and Rojas, 2011). It is hypothesized that the defoliation - refoliation process occurs at the same time for all the studied clones and localities but showing different durations and intensities, with the rainfall regime as the principal trigger for phenological events. That is why this study aimed to evaluate the intensity and duration of the defoliation-refoliation processes of rubber tree clones FX 3864, IAN 873 and IAN 710 in the productive stage in two northwestern Colombian municipalities (Tarazá and Nechí).

MATERIALS AND METHODS

This research was conducted as an observational study in two rubber tree commercial plantations under production, in the locality of Tarazá, administrative section of Santa Clara, and the locality of Nechí, administrative section of Quebrada La Cienaga, in Antioquia (Colombia).

In Tarazá (7°30' N, 75°30' W, 130 masl) monoclonal plots of 0.3 ha with the rubber clones FX 3864 (FX: Ford Cross), IAN 873 and IAN 710 (IAN: Instituto de Pesquisas Agropecuarias do Norte) were monitored. These were planted at 2.8 m between plants and 7 m between rows in the year 1998 and are under tapping since 2011. In Nechí (7°53' N, 74°50' W, 70 masl) monoclonal plots of 0.3 ha with the rubber clones FX 3864 and IAN 873 were monitored. These were planted at 2.8 m between plants and 7 m between rows in the year 2006, and are under tapping since 2015.

In both localities, the rainfall regime is monomodal with an annual mean rainfall of 4079 mm in Tarazá and 4058 mm in Nechí, the dry period occurs from December to March and the rainy season occurs from April to November. The rubber plantations are in Tarazá's fIatlands and in Nechí's hilly landscape. In both locations, the soils are classified as Ultisols, with high acidity and low natural fertility (Villa et al., 2017). During this study, the rubber trees were tapped downward on half spiral cuts, at three daily frequencies, six days in tapping followed by one day of rest, without stimulation.

During the defoliation-refoliation period between October 2015 and June 2016, the collection and quantification of the necromass (leaves, flowers, fruit peels, branches and seeds) were carried out in each plantation and for each clone. The collection was performed in five sampling units randomly distributed, each consisting of three necromass collector nets of 1 m2, 0.7 m from the soil surface, collecting necromass from four rubber trees, as shown in Figure 1. The collected necromass was dried in a Thermolab TO 90 S/G oven at 50 °C until a constant weight was reached. The dry weight (g) of leaves (DWL), fIowers (DWF), fruit epicarp (DWP), branches (DWB) and seeds (DWS) were established independently. The quantification of the foliar area (FA) trapped in the collector nets was carried out employing the leaf area portable meter Licor® 3000C.

Graphic representation of the location of the necromass collector nets in each sampling unit.

Figure 1: Graphic representation of the location of the necromass collector nets in each sampling unit.

The light environment was quantified, employing the hemispherical photography technique to the canopy of the crop (Chazdon and Field, 1987). A GoPro Hero + ® camera (GoPro Inc.) was used on each of the necromass capturing sites (meshes). The photographic records were directed to the canopy. The photographs taken were analyzed with the Gap Light Analyzer software (GLA) (Frazer et al., 1999) to estimate the canopy openness percentage (CO) and leaf area index. These measurements were made by inserting a circle into each photography and dividing it into six concentric rings and evaluating the variables on ring 4 (LAI4) and 5 (LAI5). The evaluations were conducted monthly between October 2015 (week 44 of 2015) and June 2016 (week 24 of 2016), except between October and February, where the frequency was biweekly due to the accelerated increase of necromass.

The following climatic variables were recorded in each location: average relative humidity (HR) (%), minimum relative humidity (%), maximum relative humidity (%), average temperature (TEM) (°C), minimum temperature (°C), maximum temperature (°C), photosynthetically active radiation (PAR) (μmol photon m-2 s-1) and accumulated rainfall (RAINF) (mm week-1), through the weekly recording in Spectrum® portable weather stations of the Watchdog 2900 ET series., the evapotranspiration was calculated using the Hargreaves equation (Allen et al., 2006) to perform the climatic characterization of each locality, where evapotranspiration (ETo) was equivalent to ETc because according to Carr (2012) the coefficient of rubber crop is 1.

In order to group the assessed weeks by the occurring phenological processes, a Principal Component Analysis (PCA) was carried out based on the original phenology and climatic variables described above. From this, a biplot representation with 95% confidence ellipses was elaborated, using the statistical procedure "ggbiplot" of the statistical software R Project (R core Team, 2017).

The evolution of the defoliation-refoliation process was analyzed descriptively using graphical representations of the trend for the phenological variables that best described this process, for each clone and locality. The observed co-occurrence of phenological and climatic events was discussed.

On the other hand, to compare the defoliation and refoliation processed by clone (considered as fixed effects) in each location, the following response variables were used: dry weight of leaves, fIowers, seeds, and leaf area index. For their analysis, the non-parametric Kruskal-Wallis rank test (95% confidence level) and the post hoc tests for multiple comparisons were implemented by the Conover method (Conover, 1999; Pohlert, 2014), using the statistical package "agricolae" of the statistical R Project software (De Mendiburu, 2013).

RESULTS AND DISCUSSION

From the PCA (Figure 2), all data contained in 14 variables were summarized in two principal components (PC1 and PC2). However, this reduces the amount of information and it improves interpretability by plotting all variables in two dimensions, allowing a better comprehension of a complex biological phenomenon such as phenology with multiple factors involved. The amount of variance explained for the components PC3 to PC14 does not compensate the interpretability lost because of the increased dimensionality. The PCA showed an important relationship between climatic and phenological variables according to the evaluation period where the processes of defoliation, refoliation, fIowering and fruit dehiscence occurred.

Biplot representation of the relationship between defoliation-refoliation processes variables and the climate variables in weeks 44, 46, 48, 50, 52 of 2015 and weeks 1, 3, 5, 7, 11, 16, 19 and 24 of 2016. LAI4 and LAI5 (leaf area index in the fourth and fifth ring), CO (canopy openness), FA (foliar area), DWL (dry weight of the leaves), DWB (dry weight of branches), DWF (dry weight of the fIowers), DWP (dry weight of the fruit peel), DWS (dry weight of the seed), TEM (temperature), PAR (photosynthetically active radiation), RAINF (rainfall) and RH (relative humidity).

Figure 2: Biplot representation of the relationship between defoliation-refoliation processes variables and the climate variables in weeks 44, 46, 48, 50, 52 of 2015 and weeks 1, 3, 5, 7, 11, 16, 19 and 24 of 2016. LAI4 and LAI5 (leaf area index in the fourth and fifth ring), CO (canopy openness), FA (foliar area), DWL (dry weight of the leaves), DWB (dry weight of branches), DWF (dry weight of the fIowers), DWP (dry weight of the fruit peel), DWS (dry weight of the seed), TEM (temperature), PAR (photosynthetically active radiation), RAINF (rainfall) and RH (relative humidity).

The PCA identified three stages: transition, maximum defoliation and refoliation, represented as groups of ellipses without interception between them (Groups 1, 2, and 3; Figure 2), that synthesize the behavior of the defoliation-refoliation period based on the two first principal components (PC1 and PC2), which explained 48.9% of the variation. The PCA findings were similar to those reported by Liyanage et al. (2018), who observed in five rubber clones studied in Southwest China (22° N) that defoliation occurred between December and January, refoliation between January and February and fIowering in March to April, while the trees were in foliar stage D according to the scale proposed by Lieberei (2007) from April to December.

The first stage (1) comprising weeks 44, 46, 48, 50, and 52 of 2015 and 1, 3, 5, 16, 19, and 24 of 2016 corresponds to rainy seasons of high relative humidity and with a higher leaf area index. In this group, weeks 44-48 stood out due to seed fall, week 5 as a transition time towards the defoliation phase, and, in week 16, trees showed a higher leaf area index; moreover, these were in the foliar phenological stage D. Whereas Liyanage et al. (2018) found that precipitation is less critical than sunshine exposure time in determining the timing of rubber phenological phases, the rubber defoliation process in Tarazá and Nechí was infIuenced by the decrease in rainfall intensity. In the second stage (week 7), the highest canopy openness, dry weight and leaf area of the fallen leaves, as well as the lowest leaf area indexes, were obtained, which was associated with the highest defoliation period. Carr (2012) reported that this defoliation stage is induced by dry or less humid climates, where trees can remain almost leafIess for up to four weeks. The third stage (week 11) was the refoliation period after the leaf loss and the fIowering stage. This period is associated with a higher dry weight of fIowers, high radiation, and high temperature; the main fIowering season of rubber occurs between March and April in the northern hemisphere, preceded by the end of the defoliation - refoliation process, which happens in January to February, as was shown by Priyadarshan (2017).

In this work, rainfall was the most important climatic characteristic in the induction of the defoliation stage. The most significant foliage loss was generated from week 7.

Similarly, Priyadarshan (2017) commented that the defoliation stage is a phenomenon in which the plant, in a stress condition due to water deficit, induces leaf fall as a strategy to reduce transpiration rates and ensures its reproduction. Furthermore, Li et al. (2016) reported that the foliar abscission and senescence are attributed to drought stress. Both the photosynthetically active radiation and temperature accumulated did not have a defined pattern. Therefore, the relationship of these two variables with a specific phenological process was not evident, although Borchert et al. (2015) and Priyadarshan (2017) mentioned that radiation and temperature have an important relationship in the phenology of the plant.

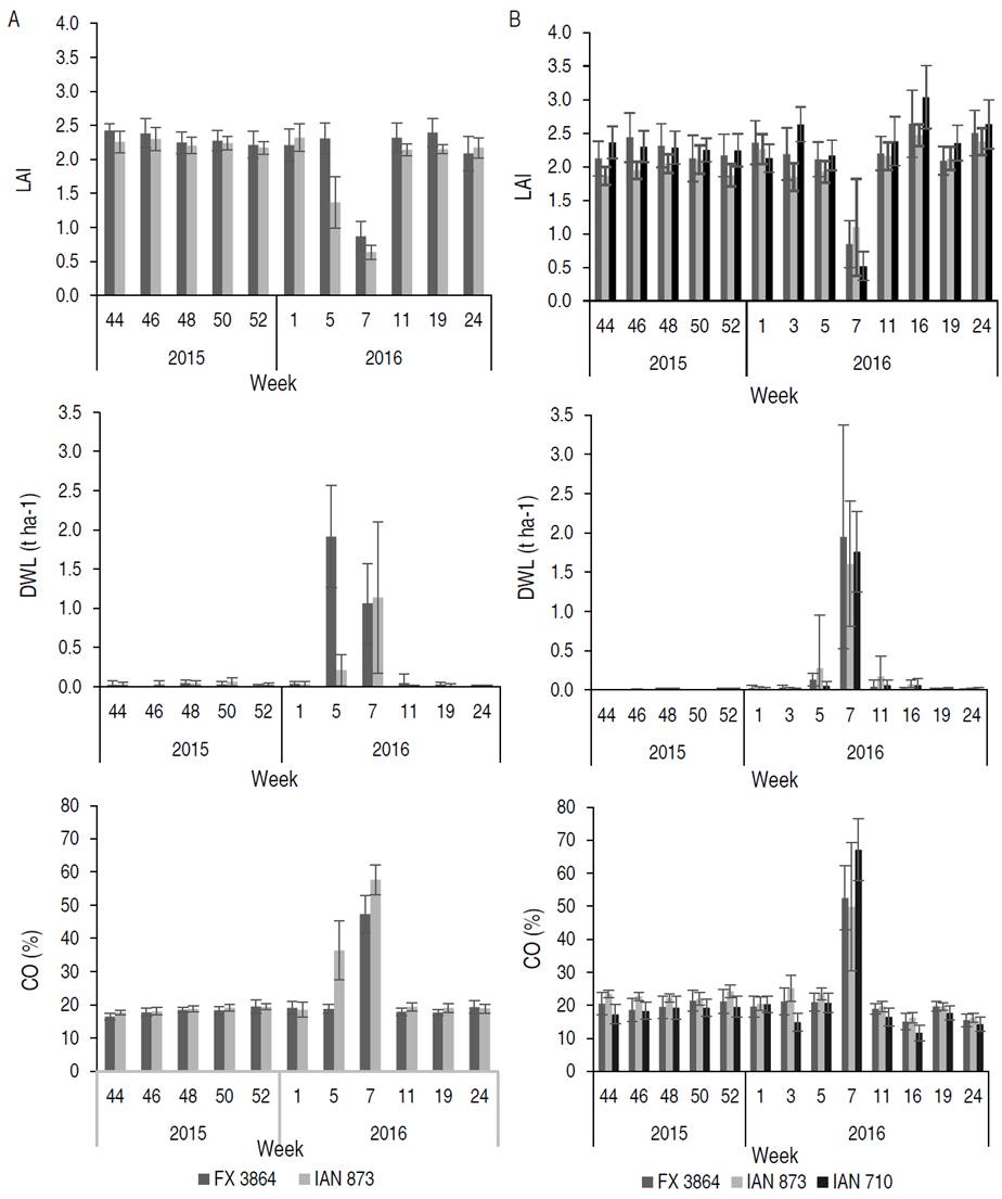
Figure 3 shows the evolution of the leaf area index of the canopy over time. The leaf area index was reduced, for all clones and localities, to a minimum value in week 7 (February) of 2016, with values of 0.52 for IAN 710 clone in Tarazá and 0.64 for the IAN 873 clone in Nechí. It corresponded to the highest defoliation stage in both locations. In Nechí for IAN 873, the reduction in the leaf area index occurred from week 5, reaching a minimum (0.63) in week 7 (Figure 4). Regarding FX 3864 clone, defoliation occurred specifically in week 7, which indicates that this clone is more efficient in terms of conservation of its leaf area than IAN 873; meanwhile, the recovery of its foliage was similar and occurred at week 11 for both clones. For week 7 in both clones, canopy openness of 60% and 50%, respectively, were obtained. The variables that best described the phenological behavior of the defoliation-refoliation processes of the rubber plants were the leaf area index of the fourth ring (LAI4), dry weight of the leaves, and percentage of canopy openness. These variables showed weeks 5 and 7 as the period of maximum defoliation, which was similar to what has been reported by Lin et al. (2018), who mentioned that the defoliation in rubber tree plantations of southeastern China was characterized by having a marked reduction in the leaf area index (0.5) during January.

Evolution of the leaf area index (LAI) in the defoliation-sprouting season quantified in 2016 during the weeks (W) 3, 5, 7, 11 and 16 for clones FX 3864, IAN 873, and IAN 710 in A. Tarazá; and the weeks (W) 1, 5, 7, 11, and 19 for clones FX 3864 and IAN 873 in B. Nechí.

Figure 3: Evolution of the leaf area index (LAI) in the defoliation-sprouting season quantified in 2016 during the weeks (W) 3, 5, 7, 11 and 16 for clones FX 3864, IAN 873, and IAN 710 in A. Tarazá; and the weeks (W) 1, 5, 7, 11, and 19 for clones FX 3864 and IAN 873 in B. Nechí.

Behavior of leaf area index (LAI), dry weight of leaves (DWL) and canopy openness (CO) of rubber clones FX 3864, IAN 873, and IAN 710 in A. Nechí and B. Tarazá.

Figure 4: Behavior of leaf area index (LAI), dry weight of leaves (DWL) and canopy openness (CO) of rubber clones FX 3864, IAN 873, and IAN 710 in A. Nechí and B. Tarazá.

The highest dry weight of the leaves for the FX 3864 clone was observed two weeks before IAN 873, without refIecting the decrease of the leaf area index. The defoliation stage in Tarazá was limited to week 7 for all genetic materials. The lowest values (0.52) of the leaf area index and the highest openness of the canopy (67%) were found in IAN 710 clone. Concerning the accumulated leaf biomass, it was 3.2 and 1.6 t ha-1 for FX 3864 and IAN 873 clones, respectively, in Nechí. In Tarazá, it was 2.3 t ha-1 for both FX 4098 and IAN 873, and 2.0 t ha-1 for IAN 710. However, the accumulated biomass found during the whole defoliation process in this study was higher than what was reported by Meti et al. (2014), who mentioned that in a rubber plant production system in India with the RRII 105 clone, litter values ranged between 1.67-1.9 t ha-1 year-1, which constitutes a contribution of minerals to the soil for the nutrient cycling process.

Regarding the climatic factors (Figure 5), the minimum temperature was similar in both locations (approximately 24 °C). However, the photosynthetically active radiation averaged per week (1,145 μmol photon m-2 s-1) and the maximum temperature (38.5 °C) were higher in Nechí compared to Tarazá (904 μmol photon m-2 s-1 and 36 °C) (Figures 5A and 5B). In Nechí, the dry period was between December to March (week 50-2015 to week 16-2016) with a negative water balance (Figure 5C). In Tarazá, the occurrence of rains did not have the same pattern; a dry season was identified with a negative water balance in February and March (Figure 5D). In Nechí, IAN 873 and FX 3864 clones were subjected to a reduction in rainfall intensity of 97% from November to January to reach the state of greatest defoliation. As for Tarazá, defoliation was synchronized in all clones, and only a 31% reduction in rainfall intensity in the same months was sufficient for its occurrence. The occurrence of the dry season (negative water balance) before maximum defoliation was evident in Nechí. However, a reduction in the intensity of rainfall was enough to trigger the phenological stage in Tarazá. This climatic factor could generate faster and more uniform defoliation (Gasparotto et al., 2012).

Behavior of photosynthetically active radiation (PAR), minimum and maximum temperatures in A. Nechí and B. Tarazá in weeks 44-52 of 2015 and weeks 1-24 of 2016. Rainfall (RF), evapotraspiration (ETo) and water balance in C. Nechí and D. Tarazá between October 2015 and June 2016.

Figure 5: Behavior of photosynthetically active radiation (PAR), minimum and maximum temperatures in A. Nechí and B. Tarazá in weeks 44-52 of 2015 and weeks 1-24 of 2016. Rainfall (RF), evapotraspiration (ETo) and water balance in C. Nechí and D. Tarazá between October 2015 and June 2016.

Concerning the comparison of genetic materials (Table 1), in Tarazá, the clone with the highest leaf area index was IAN 873, and the lowest was IAN 710. The smaller leaf area recorded in IAN 710 clone was the result of higher defoliation during the evaluation period. In Nechí, the clone with the highest leaf area index was FX 3864, although the dry weight of the detached leaves was similar among clones. The intensity of the fIowering evidenced by the dry weight of fIowers was similar in all the clones, albeit the dry weight of seeds was higher for IAN 873 in Nechí. In this sense, Righi et al. (2001) mentioned that the production of rubber has a high correlation with the leaf area index since a more extended period of defoliation would be associated with a decrease in latex production. According to Guyot (2008), homogeneous and short defoliation processes generate an escape condition from phytosanitary problems, especially the South American Leaf Blight (SALB) disease. However, clones with greater susceptibility to SALB with a lower percentage of retained leaves, at the end of the annual defoliation-refoliation, could present the most intense SALB signs and symptoms (Sterling et al., 2019).

Table 1: Comparison of mean ranges employing the Kruskal-Wallis test and the Conover post hoc tests for the variables dry weight of leaves (DWL), dry weight of fIowers (DWF), leaf area index (LAI) and dry weight of seeds (DWS) of clones FX 3864, IAN 873 and IAN 710 in the localities of Nechí and Tarazá.

The duration of the refoliation period was short (4-6 weeks) for all the clones in both locations. It occurred in the dry season, which was similar to Silva et al. (2012), who mentioned that despite a water restriction, the plants could develop their foliage. However, Rivano et al. (2016) indicated that the defoliation and refoliation process could be extended up to 20 weeks. This short period (4 to 6 weeks) required by rubber trees to complete the defoliation-refoliation cycle is considered an advantage of rubber cultivation in the subregion of Bajo Cauca since the trees quickly recover the foliage and have the capacity to increase the latex production. Similar results were found by Maeght et al. (2015), who also mentioned that although the growth of the secondary roots stops during the dry season, a variable quantity of the water demanded is supplied by deeper roots. However, it is important to continue with other studies that allow us to establish whether this duration affects the lifespan and the occurrence of the dry panel and total solids content in rubber trees, and its relationship with the most critical leaf diseases.

CONCLUSIONS

Rubber tree cultivation in northwestern Colombia showed three phenological stages that groups the defoliation and refoliation events, such as maximum defoliation (minimum leaf area index), the transition stage (beginning of abscission and leaf regrowth) and refoliation (maximum index of leaf area and fIowering). The defoliation stage was mainly promoted by a reduction in rainfall intensity on the municipalities of Nechí and Tarazá. Furthermore, the refoliation stage in the plantations in Tarazá and Nechí took place in the dry season, was short (4-6 weeks) and synchronized for all the clones.

Acknowledgements

ACKNOWLEDGMENTS

The results and information of this publication were obtained from the development of the project "Sistemas de apoyo para el seguimiento y gestión del manejo en plantaciones de caucho, a partir de componentes climáticos, edáficos, fitosanitarios y fisiológicos de plantaciones establecidas en núcleos productivos", executed by the Corporación Colombiana de Investigación Agropecuaria - AGROSAVIA, within the framework of the Agenda Dinámica Corporativa, financed with public resources through the Ministerio de Agricultura y Desarrollo Rural (MADR). The authors thank Albert Julesmar Gutiérrez Vanegas as national leader of the mentioned project, the Laboratorio de Ecofisiología de Plantaciones en el Trópico, Departamento de Ciencias Agronómicas, Universidad Nacional de Colombia for its Eco physiological instruments, and to the rubber producers' associations ASCULTICAUCHO and ASCABIA for supporting this study.

REFERENCES

  1. Allen RG, Pereira LS, Raes D y Smith M. 2006. Evapotranspiración del cultivo: Guías para la determinación de los requerimientos de agua de los cultivos. Estudio FAO riego y drenaje 56. FAO. Roma, Italia. 322 p. 🠔
  2. Borchert R, Calle Z, Strahler AH, Baertschi A, Magill RE, Broadhead JS, Kamau J, Njoroge J and Muthuri C. 2015. Insolation and photoperiodic control of tree development near the equator. New Phytologist 205(1): 7-13. doi: 10.1111/nph.12981 [DOI] 🠔
  3. Carr MKV. 2012. The water relations of rubber (Hevea brasiliensis): a review. Experimental Agriculture 48(2): 176-193. doi: 10.1017/S0014479711000901 [DOI] 🠔
  4. CCC - Confederación Cauchera Colombiana y Corporación Colombiana de Investigación Agropecuaria. 2015. Informe Final. Banco de datos estructurado, ajustado, homogenizado como insumo del sistema de información geográfico (SIG-CAUCHO). Ministerio de Agricultura y Desarrollo Rural. 57 p. 🠔
  5. Chazdon RL and Field CB. 1987. Photographic estimation of photosynthetically active radiation: evaluation of a computerized technique. Oecología 73(4): 525-53. doi: 10.1007/BF00379411 [DOI] 🠔
  6. Conover WJ. 1999. Practical Nonparametric Statistics. Third edition. Wiley, New York. 592 p. 🠔
  7. Córdoba-Ganoa O, Monsalve-García D, Hernández-Arredondo JD, Guerra-Hincapié JJ, Gil-Restrepo JP, Martínez-Bustamante E and Unigarro-Muñoz CA. 2018. Gas exchange in young Hevea brasiliensis (Willd. Ex A. Juss.) Müll. Arg. (Euphorbiaceae) plants in Antioquia (Colombia). Ciencia y Tecnología Agropecuaria 19(1): 91-102. doi: 10.21930/rcta.vol19_num1_art:540 [DOI] 🠔
  8. De Mendiburu F. 2013. Agricolae: Statistical procedures for agricultural research. R package version 1.1-4. In: In: https://cran.r-project.org/web/packages/agricolae/ Accessed: March 2019. [URL] 🠔
  9. Frazer GW, Canham CD and Lertzman KP. 1999. Gap Light Analyzer (GLA), Version 2.0: Imaging software to extract canopy structure and gap light transmission indices from true-colour fisheye photographs, user's manual and program documentation. Simon Fraser University, Burnaby, British Columbia, and the Institute of Ecosystem Studies, Millbrook, New York. 36 p. 🠔
  10. Fu YH, Piao S, Vitasse Y, Zhao H, De Boeck HJ, Liu Q, Yang H, Weber U, Hänninen H and Janssens IA. 2015. Increased heat requirement for leaf fIushing in temperate woody species over 1980-2012: effects of chilling, precipitation and insolation. Global Change Biology 21(7): 2687-2697. doi: 10.1111/gcb.12863 [DOI] 🠔
  11. Gasparotto L e Pereira RJC. 2012. Doenças da seringueira no Brasil. Segunda edição EMBRAPA Amazônia Occidental. Brasília, DF. 255 p. https://livimagens.sct.embrapa.br/amostras/00084580.pdf Consulta: diciembre 2018. [URL] 🠔
  12. Guyot J, Cilas C and Sache I. 2008. InfIuence of host resistance and phenology on South American Leaf Blight of the rubber tree with special consideration of temporal dynamics. European Journal Plant Pathology 120(2): 111-124. doi: 10.1007/s10658-007-9197-6 [DOI] 🠔
  13. Guyot J and Le Guen V. 2018. A review of a century of studies on South American Leaf Blight of the rubber tree. Plant Disease 102(6): 1-14. doi: 10.1094/PDIS-04-17-0592-FE [DOI] 🠔
  14. Hora Junior BT, De Macedo DM, Barreto RW, Evans HC, Mattos CRR, Maffia LA and Mizubuti ES. 2014. Erasing the past: A new identity for the damoclean pathogen causing South American leaf blight of rubber. PloS One 9(8): e104750. doi: 10.1371/journal.pone.0104750 [DOI] 🠔
  15. Jaimes YY y Rojas J. 2011. Enfermedades foliares del caucho (Hevea brasiliensis Muell. Arg.) establecido en un campo clonal ubicado en el Magdalena Medio Santandereano (Colombia) Ciencia y Tecnología Agropecuaria 12(1): 65-76. doi: 10.21930/rcta.vol12_num1_art:216. [DOI] 🠔
  16. Liyanage KK, Khan S, Ranjitkar S, Yu H, Xu J, Brooks S, Beckschäfer P and Hydel KD. 2018. Evaluation of key meteorological determinants of wintering and fIowering patterns of five rubber clones in Xishuangbanna, Yunnan, China. International Journal of Biometeorology 63(5): 617-625. doi: 10.1007/s00484-018-1598-z [DOI] 🠔
  17. Li Y, Lan G and Xia Y. 2016. Rubber trees demonstrate a clear retranslocation under seasonal drought and cold stresses. Frontiers in Plant Science 7:1907. doi: 10.3389/fpls.2016.01907 [DOI] 🠔
  18. Lieberei R. 2007. South American leaf blight of the rubber tree (Hevea spp.): new steps in plant domestication using physiological features and molecular markers. Annals of Botany 100(6): 1125-1142. doi: 10.1093/aob/mcm133 [DOI] 🠔
  19. Lin Y, Zhang Y, Zhao W, Dong Y, Fei X, Song Q, Sha L, Wang S and Grace J. 2018. Pattern and driving factor of intense defoliation of rubber plantations in SW China. Ecological Indicators 94(1): 104-116. doi: 10.1016/j.ecolind.2018.06.050 [DOI] 🠔
  20. Maeght JL, Gonkhamdee S, Clément C, Isarangkool N, Ayutthaya S, Stokes A and Pierret A. 2015. Seasonal Patterns of fine root production and turnover in a mature rubber tree (Hevea brasiliensis Müll. Arg.) stand- differentiation with soil depth and implications for soil carbon stocks. Frontiers in Plant Science 6: 1-11. doi: 10.3389/fpls.2015.01022 [DOI] 🠔
  21. Meenakumari T, Meenattoor JR, Thirunavoukkarasu M, Vinod KK, Krishan B, Gireesh T and Jacob J. 2018. Dynamics of long-term adaptive responses in growth and rubber yield among Hevea brasiliensis genotypes introduced to a dry sub-humid climate of Eastern India. Industrial Crops and Products 119: 294-303. doi: 10.1016/j.indcrop.2018.02.066 [DOI] 🠔
  22. Meti S, Meerabai M, Salam M, Jacob J and Vijayaraghavakumar. 2014. Soil nutrient dynamics of mature rubber (Hevea brasiliensis Muell. Arg.) plantation in relation to phenology and growing environment. Journal of the Indian Society of Soil Science 62(4): 376-383. 🠔
  23. Paranjothy K. 2018. Hevea. In: Halevy AH. (ed). Handbook of fIowering. CRC Press, inc., Boca Raton. pp. 133-141. 🠔
  24. Pohlert T. 2014. The Pairwise Multiple Comparison of Mean Ranks Package (PMCMR). R package. In: The Comprehensive R Archive Network, In: The Comprehensive R Archive Network, https://cran.r-project.org/web/packages/PMCMR/ Accessed: January 2019. [URL] 🠔
  25. Priyadarshan PM. 2017. Biology of Hevea rubber. Springer. 251 p. doi: 10.1007/978-3-319-54506-6 [DOI] 🠔
  26. R Core Team. 2017. R: A Language and Environment for Statistical Computing. R Foundation for Statistical Computing, Vienna, Austria. 🠔
  27. Richardson AD, Toomey M, Migliavacca M, Sonnentag O, Keenan TF and Ryu Y. 2013. Climate change, phenology, and phenological control of vegetation feedbacks to the climate system. Agricultural and Forest Meteorology 169: 156-173. doi: 10.1016/j.agrformet.2012.09.012 [DOI] 🠔
  28. Righi CA, Bernardes MS, Castro DS e Abbud DM. 2001. Fenologia e variação temporal do índice de área foliar de três cultivares de seringueira (Hevea spp.). Agrotrópica 13(3): 125 - 132. 🠔
  29. Rivano F, Vera J, Cevallos V, Almeida D, Maldonado L and FIori A. 2016. Performance of 10 Hevea brasiliensis clones in Ecuador, under South American Leaf Blight escape conditions. Industrial Crops and Products 94: 762-773. doi: 10.1016/j.indcrop.2016.09.035 [DOI] 🠔
  30. Silva JQ, Scaloppi-Júnior EJ, Moreno MB, De Souza GB, Gonçalves DS y Filho AS. 2012. Producción y propiedades químicas del caucho en clones de Hevea según los estados fenológicos. Pesquisa Agropecuária Brasileira 47(8): 1066-1076. doi: 10.1590/S0100-204X2012000800006 [DOI] 🠔
  31. Simbo DJ, Van Den Bilcke N and Samson R. 2013. Contribution of corticular photosynthesis to bud development in African baobab (Adansonia digitata L.) and Castor bean (Ricinus communis L.) seedlings. Environmental and Experimental Botany 95: 15. doi: 10.1016/j.envexpbot.2013.07.002 [DOI] 🠔
  32. Sterling A, Martínez-Viuche EJ, Pimentel-Parra GA, Suárez-Córdoba YD, Fonseca-Restrepo JA, and Virguez-Díaz YR. 2019. Dynamics of adaptive responses in growth and resistance of rubber tree clones under South American leaf blight non-escape conditions in the Colombian Amazon. Industrial Crops and Products 141: 111811. doi: 10.1016/j.indcrop.2019.111811 [DOI] 🠔
  33. Villa MR, Martínez EG, Cartagena JR, Rodríguez OA and Osorio NW. 2017. Characterization of soils cultivated with rubber in the Colombian Bajo Cauca Antioqueño region. Revista Facultad Nacional de Agronomía Medellín 70(2): 8155-8167. doi: 10.15446/rfna.v70n2.64520 [DOI] 🠔
  34. Zhai DL, Yu H, Chen SC, Ranjitkar S and Xu J. 2017. Responses of rubber leaf phenology to climatic variations in Southwest China. International Journal of Biometeorology 63(5): 607-616. doi: 10.1007/s00484-017-1448-4 [DOI] 🠔